En esta página vemos un ejemplo del método de integración por sustitución o cambio de variable y una tabla con los cambios que suelen funcionar.
Este método consiste en cambiar la función del integrando por otra función.
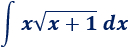
Ejemplo
1. Elegimos un cambio de variable
Definimos s2 = x+1.
Este cambio permitirá eliminar la raíz cuadrada.
2. Despejamos x y calculamos dx
dx es la derivada de x:
3. Sustituimos en la integral
Cambiamos x por s2 -1 y dx por 2sds, después, integramos respecto de la nueva variable s.
Operamos:
Resolvemos:
Simplificamos el resultado:
4. Deshacemos el cambio de variable
Como la integral inicial es función de x, tenemos que deshacer el cambio de variable. Para ello, cambiamos s por √(x+1) :
Por tanto,
Tabla
No todos los cambios son útiles. En la siguiente tabla se recogen algunos de los cambios que suelen funcionar:
Más integrales resueltas:








